新型冠状病毒(2019-nCoV) 抗原检测试剂盒
注册证号:国械注准20223400361
注册证号:国械注准20223400361
自2021年以来,多种变异新冠病毒相继出现,给全球疫情防控增添了诸多不确定性,对全球经济和人类健康带来巨大危机。
为了验证新冠抗原检测试剂对这些新变异体检测诊断的可靠性,瑞士日内瓦大学微生物学和分子医学系的梅里姆·贝克利兹、肯尼斯·阿德等教授联合FIND基金,选取了包括艾康生物在内的11家企业的11款新冠抗原快速检测试剂,对早期大流行的B.1.610变体、α 变体、β 变体、γ 变体及现阶段流行的 delta变体分别进行了灵敏度测试分析,并在权威杂志THE LANCET Microbe(柳叶刀微生物杂志)上发表了最新的研究报告。

(来源地址:https://www.thelancet.com/journals/lanmic/article/PIIS2666-5247(21)00302-5/fulltext#)
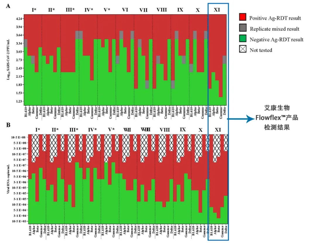
该研究中,所有病毒均分离自临床样品,并完整测序,分离的样本生长于Vero E6细胞中。选取的病毒传染性滴度的起始稀释倍数为4.24 Log10 PFU/mL,对应的病毒量为 B.1.610 8.15 log10 RNA copies/mL、 α 变体6.70 log10 RNA copies/mL、β 变体 7.18 log10 RNA copies/mL 、γ 变体8·30 log10 RNA copies/mL、delta 变体6.00 log10 RNA copies/mL。
评估结果如下:

▲11种Ag-RDTs分析对比,A图基于CT value,B图基于Log10 PFU/mL
(数据来源:https://www.thelancet.com/cms/10.1016/S2666-5247(21)00302-5/attachment/ae999c68-963e-4556-afc4-693715d38852/mmc1.pdf)
由此可知,新冠抗原快速检测试剂对目前关注到的几种新冠变异体检测结果依然具有可靠性和有效性。其中,在该研究报告里特别提到了与其他 Ag-RDT 试剂盒相比,艾康生物的Flowflex™ SARS-CoV-2 抗原检测试剂可以检测出delta 变体的灵敏度更高。

现如今,疫情形势复杂多变,多种变异新冠毒株给防疫带来新的挑战,新冠抗原检测作为新冠确诊的辅助诊断依据,具有检测快速、操作简便、价格经济等优势,在新冠筛查中发挥重要作用。
Flowflex™ 新冠病毒抗原检测试剂支持鼻拭子、鼻咽拭子、唾液等多种样本。并且,系列产品形式多样,涵盖抗原、抗体、以及流感-新冠联检等。可通过即时检测即时报告,实现“关口前移、及时筛查、快速现形、提早发现”,用于对疑似人群进行早期分流和快速管理,能较好地满足各国疫情防控现场快速检测的需求。

Flowflex™ 自上市以来捷报频传,广受全球市场好评。目前产品已获得美国FDA EUA、欧盟CE0123、德国PEI性能验证、FIND独立评估、Noklus评估、DHSC独立评估、NIFDC注册检验验证等多重评估和认证,凭借其优异的产品性能和良好的用户体验畅销全球。
注册证号:国械注准20223400361